:: o podjetju :: kontakt :: © AKC d.o.o. ::        



Domov      Pišite nam    
 
Računovodstvo

Finančna zakonodaja

Obrestne mere

Izobraževanje

Uporabni podatki

Poslovne rešitve

Članki

Koristne povezave



:: obrestne mere


30.11.2006

Temeljna obrestna mera za december 2006

Mesečna in letna temeljna obrestna mera za december 2006:
  • Mesečna temeljna obrestna mera 0,2 %
  • Letna temeljna obrestna mera 2,38 %
Metodološko opozorilo
Podatka o mesečni in letni temeljni obrestni meri se objavljata na podlagi 3. člena Zakona o predpisani obrestni meri zamudnih obresti (Uradni list RS, št. 56/2003) in na podlagi Sklepa Banke Slovenije o temeljni obrestni meri (Uradni list RS, št. 61/96, 3/97, 23/97 in 81/97). Mesečna temeljna obrestna mera za določen mesec se izračuna na eno decimalno mesto kot aritmetično povprečje zadnjih dvanajstih stopenj rasti cen življenjskih potrebščin, ki jih računa in objavlja Statistični urad RS. Letna temeljna obrestna mera za določen mesec se izračuna iz mesečne temeljne obrestne mere na dve decimalni mesti, na konformni način ter z upoštevanjem dejanskega števila dni.

Vir: SURS

Gor

30.10.2006

Temeljna obrestna mera za november 2006

Mesečna in letna temeljna obrestna mera za november 2006:
  • Mesečna temeljna obrestna mera 0,1 %
  • Letna temeljna obrestna mera 1,22 %
Metodološko opozorilo
Podatka o mesečni in letni temeljni obrestni meri se objavljata na podlagi 3. člena Zakona o predpisani obrestni meri zamudnih obresti (Uradni list RS, št. 56/2003) in na podlagi Sklepa Banke Slovenije o temeljni obrestni meri (Uradni list RS, št. 61/96, 3/97, 23/97 in 81/97). Mesečna temeljna obrestna mera za določen mesec se izračuna na eno decimalno mesto kot aritmetično povprečje zadnjih dvanajstih stopenj rasti cen življenjskih potrebščin, ki jih računa in objavlja Statistični urad RS. Letna temeljna obrestna mera za določen mesec se izračuna iz mesečne temeljne obrestne mere na dve decimalni mesti, na konformni način ter z upoštevanjem dejanskega števila dni.

Vir: SURS

Gor

30.09.2006

Temeljna obrestna mera za oktober 2006

Mesečna in letna temeljna obrestna mera za oktober 2006:
  • Mesečna temeljna obrestna mera 0,2 %
  • Letna temeljna obrestna mera 2,38 %
Metodološko opozorilo
Podatka o mesečni in letni temeljni obrestni meri se objavljata na podlagi 3. člena Zakona o predpisani obrestni meri zamudnih obresti (Uradni list RS, št. 56/2003) in na podlagi Sklepa Banke Slovenije o temeljni obrestni meri (Uradni list RS, št. 61/96, 3/97, 23/97 in 81/97). Mesečna temeljna obrestna mera za določen mesec se izračuna na eno decimalno mesto kot aritmetično povprečje zadnjih dvanajstih stopenj rasti cen življenjskih potrebščin, ki jih računa in objavlja Statistični urad RS. Letna temeljna obrestna mera za določen mesec se izračuna iz mesečne temeljne obrestne mere na dve decimalni mesti, na konformni način ter z upoštevanjem dejanskega števila dni.

Vir: SURS

Gor

31.08.2006

Temeljna obrestna mera za september 2006

Mesečna in letna temeljna obrestna mera za sepetmber 2006:
  • Mesečna temeljna obrestna mera 0,3 %
  • Letna temeljna obrestna mera 3,71 %
Metodološko opozorilo
Podatka o mesečni in letni temeljni obrestni meri se objavljata na podlagi 3. člena Zakona o predpisani obrestni meri zamudnih obresti (Uradni list RS, št. 56/2003) in na podlagi Sklepa Banke Slovenije o temeljni obrestni meri (Uradni list RS, št. 61/96, 3/97, 23/97 in 81/97). Mesečna temeljna obrestna mera za določen mesec se izračuna na eno decimalno mesto kot aritmetično povprečje zadnjih dvanajstih stopenj rasti cen življenjskih potrebščin, ki jih računa in objavlja Statistični urad RS. Letna temeljna obrestna mera za določen mesec se izračuna iz mesečne temeljne obrestne mere na dve decimalni mesti, na konformni način ter z upoštevanjem dejanskega števila dni.

Vir: SURS

Gor

31.07.2006

Temeljna obrestna mera za avgust 2006

Mesečna in letna temeljna obrestna mera za avgust 2006:
  • Mesečna temeljna obrestna mera 0,2 %
  • Letna temeljna obrestna mera 2,38 %
Metodološko opozorilo
Podatka o mesečni in letni temeljni obrestni meri se objavljata na podlagi 3. člena Zakona o predpisani obrestni meri zamudnih obresti (Uradni list RS, št. 56/2003) in na podlagi Sklepa Banke Slovenije o temeljni obrestni meri (Uradni list RS, št. 61/96, 3/97, 23/97 in 81/97). Mesečna temeljna obrestna mera za določen mesec se izračuna na eno decimalno mesto kot aritmetično povprečje zadnjih dvanajstih stopenj rasti cen življenjskih potrebščin, ki jih računa in objavlja Statistični urad RS. Letna temeljna obrestna mera za določen mesec se izračuna iz mesečne temeljne obrestne mere na dve decimalni mesti, na konformni način ter z upoštevanjem dejanskega števila dni.

Vir: SURS

Gor

31.07.2006

Kumulativni koeficienti zamudnih obresti - zamudna obrestna mera na letni ravni

28.06.2003 - 31.12.2003 17,0% Zakon o predpisani obrestni meri zamudnih obresti (Uradni list RS, št. 56/03)
01.01.2004 - 31.12.2005 15,5% Sklep o spremembi predpisane obrestne mere zamudnih obresti (Uradni list RS, št. 135/03)
01.01.2006 13,5% Sklep o spremembi predpisane obrestne mere zamudnih obresti (Uradni list RS, št. 118/05)


2002 ZOM
januar 20.80
februar 21.61
marec 22.06
april 21.05
maj 22.06
junij 21.05
julij 20.80
2001 ZOM
januar 26.56
februar 27.52
marec 26.56
april 28.66
maj 28.36
junij 29.98
julij 29.64
avgust 28.36
september 28.66
oktober 27.10
november27.35
december27.10


Vir: SURS

Gor

27.07.2006

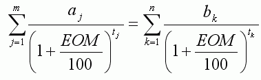
Kako izračunamo efektivno obrestno mero?

Efektivna obrestna mera je tista letna obrestna mera (diskontna stopnja), s katero se skupno kreditno breme (skupna vrednost vseh potrošnikovih plačil dajalcu kredita, razen stroškov iz 18. člena zakona o potrošniških kreditih) izenači s sedanjo vrednostjo odobrenega in nakazanega kreditnega zneska, in se izračuna po spodaj navedeni matematični formuli.

Efektivna obrestna mera – EOM je rešitev naslednje enačbe:

efektivna obrestna mera

kjer je:
  • vsota
    • m –število prejetih zneskov – tranš, če se kredit porablja postopoma, drugače je m = 1
    • aj –prejeti zneski, katerih vsota je enaka znesku kredita
    • tj –dolžina intervala, izražena v letih in delih leta, med začetnim trenutkom (datumom prejetja prve tranše kredita) in datumi naslednjih tranš (če so)
    • n –število obremenitev, ki jih tvorijo vsa odplačila kredita in skupni stroški kredita
    • bk –posamezni zneski plačil
    • tk –dolžina intervala, izražena v letih ali delih leta, med začetnim trenutkom (datumom prejetja prve tranše kredita) in datumi posameznih odplačil oziroma posameznih plačil skupnih stroškov kredita
EOM (efektivna obrestna mera) je letni odstotek obresti, ki se lahko izračuna, če so drugi pogoji v enačbi znani iz pogodbe ali drugače.

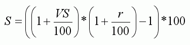
Skupna efektivna obrestna mera (S) je efektivna obrestna mera (EOM), pri kateri se upošteva valorizacijska stopnja (VS) in se izračuna po formuli:

efektivna obrestna mera
  • VS – valorizacijska stopnja, ki je enaka letni obrestni meri, s katero se zagotavlja ohranitev realne vrednosti po zakonu o predpisani obrestni meri zamudnih obresti in temeljni obrestni meri (Uradni list RS, št. 45/95)
  • r –realna obrestna mera
Pri kreditnih pogodbah, pri katerih je znesek in način odplačevanja kredita v skladu z drugimi predpisi vezan na tujo valuto, se namesto skupne efektivne obrestne mere (S) uporablja le efektivna obrestna mera (EOM).

Vir: Register predpisov RS

Gor

30.06.2006

Temeljna obrestna mera za julij 2006

Mesečna in letna temeljna obrestna mera za julij 2006:
  • Mesečna temeljna obrestna mera 0,2 %
  • Letna temeljna obrestna mera 2,38 %
Metodološko opozorilo
Podatka o mesečni in letni temeljni obrestni meri se objavljata na podlagi 3. člena Zakona o predpisani obrestni meri zamudnih obresti (Uradni list RS, št. 56/2003) in na podlagi Sklepa Banke Slovenije o temeljni obrestni meri (Uradni list RS, št. 61/96, 3/97, 23/97 in 81/97). Mesečna temeljna obrestna mera za določen mesec se izračuna na eno decimalno mesto kot aritmetično povprečje zadnjih dvanajstih stopenj rasti cen življenjskih potrebščin, ki jih računa in objavlja Statistični urad RS. Letna temeljna obrestna mera za določen mesec se izračuna iz mesečne temeljne obrestne mere na dve decimalni mesti, na konformni način ter z upoštevanjem dejanskega števila dni.

Avtor: Mitja Petek
Vir: SURS

Gor

17.01.2006

Povprečne efektivne obrestne mere potrošniških kreditov bank in hranilnic

Povprečne efektivne obrestne mere, izračunane na način iz 17. člena Zakona o potrošniških kreditih (Uradni list RS, št. 70/00 in 41/04), ki so jih banke in hranilnice uporabljale za določene ročnosti in zneske potrošniških kreditov, so po stanju na dan 31. 12. 2005 znašale:

Povprečne efektivne obrestne mere
Standardizirani produkt potrošniškega kredita * SITvalutna klavzula vezana na EUR
6 mesecev 250 tisoč tolarjev 23,319,1
12 mesecev 500 tisoč tolarjev 15,111,2
36 mesecev 1 mio tolarjev 11,98,9
10 let 5 mio tolarjev 7,26,5


*Standardizirani produkt pomeni, da gre za kredit, odobren nekomitentu, zavarovan pri zavarovalnici, ter da EOM vključuje stroške odobritve in vodenja takšnega kredita oz. druge stroške, povezane s tem kreditom.

Vir: Register predpisov RS

Gor

Slovenske medbančne obrestne mere (SITIBOR) - arhiv podatkov 2006

Arhiv podatkov o slovenskih medbančnih obrestnih merah za ostala leta si lahko ogledate tukaj.

Avtor: Združenje Bank Slovenije

Gor

20.06.2006

Obrestne mere za obresti na posojila med povezanimi osebami

V skladu s Pravilnikom o priznani obrestni meri (Ur. l. RS, št. 130/04, 142/04-popr. ) objavlja Ministrstvo za finance naslednje priznane obrestne mere za obresti na posojila med povezanimi osebami:
  • obrestno mero za posojila v Republiki Sloveniji
    • za ročnosti posojil do vključno enega leta,
    • za ročnosti posojil nad enim do vključno petih let,
    • za ročnosti posojil nad pet let,
  • obrestno mero za čezmejna posojila, dana ali prejeta izven Republike Slovenije
    • za ročnosti posojil do vključno enega leta,
    • za ročnosti posojil nad enim do vključno petih let,
    • za ročnosti posojil nad pet let.
Ministrstvo, pristojno za finance, objavlja navedene priznane obrestne mere vsak tretji delovni dan v mesecu na svojih spletnih straneh in straneh Davčne uprave Republike Slovenije.

Avtor: Združenje računovodskih servisov

Gor

julij 2006

Priznana obrestna mera za tekoči mesec

PRIZNANA OBRESTNA MERA: JULIJ 2006

Za posojila v RS Za čezmejna posojila, dana ali prejeta izven RS
do vključno 1 leta 3,30% 3,05%
nad 1 do vključno 5 let 3,80% 3,62%
nad 5 let 4,20% 4,09%
  1. Priznana obrestna mera za tekoči mesec
  2. Priznana obrestna mera - arhiv za pretekle mesece
Vir: Ministrstvo za finance

Gor

| obresti in obrestne mere |

© AKC d.o.o., 2006

| domov | računovodstvo | finance | obrestne mere | izobraževanje |
| uporabni podatki | poslovne rešitve | kontakt|